Upravljačko računovodstvo Pregled
PLANSKE I KONTROLNE ODLUKE
Planiranje je odlučivanje o ciljevima organizacije, predviđanju rezultata i pronalaženju
različitih alternativnih načina postizanja ciljeva
Kontrola je odlučivanje i poduzimanje akcija u pogledu procjene poslovanja i
poduzimanja akcija za donošenje budućih poslovnih odluka (povratna sprega)
Na slijedećoj slici prikazano je kako računovodstveni sistem učestvuje u ovih procesima:
Moguće mjere za povećanje prihoda za 4% su:
-
povećati obim prodaje
-
povećati prodajnu cijenu
-
smanjiti troškove
Osnovna veza između planiranja i kontrole je POVRATNA SPREGA (analiza protekle
poslovne transakcije sa ciljem pronalaženja alternativnih načina koji će dovesti do
poboljšanja poslovanja). Posebno je važna uloga upravljačkog računovodstva u ovoj fazi.
Računovodstveni sistem je formalni mehanizam za prikupljanje, organiziranje i
prosljeđivanje informacija o aktivnostima preduzeća. Takav sistem treba da odgovori na
tri tipa pitanja:
1
PLANIRANJE
Povećati prihode za 4%
KONTROLA
Akcija
Poduzeti mjere da se
prihodi povećaju na za 4%
Mjerenje rezultata
Prihodi povećani za 3%,
manje od planiranog
Povratna sprega
BUDŽET
Očekivano povećanje
prihoda za 4% za 4%
RAČUNOVODSTVO
Evidentira transakcije u
vezi prihoda korištenjem
izvornih dokumenata i
evidentira ih u knjigama
IZVJEŠTAJ O USPJEHU
Poredi budžetiranu stopu
rasta prihoda sa ostvarenom
Upravljačke
odluke
Upravljačke
odluke
Upravljačko
računovodstvo
Upravljačko
računovodstvo
Plan
Evidentiranje
transakcija
Izvještavanje
o ostvarenju
1)
Da li ja radim dobro ili loše.
Knjigovodstvo može odgovoriti na ovo pitanje. To je
proces prikupljanja i klasifikacije podataka. To je svakodnevni posao računovođa koji
podjednako koriste i interni i eksterni korisnici.
2)
Koji problem treba da rješavam?
To je dio računovodstvo koji informiše i
objašnjava pojave koje mogu pomoći rukovodiocima u rješavanju svakodnevnih
problema. Ono se uglavnom odnosi na tekuće planiranje i kontrolu
3)
Kako da riješim neki problem?
To je pitanje izbora najboljeg puta
Iz odgovora na prethodna pitanja možemo uočiti tri aktivnosti računovodstva u procesu
planiranja i kontrole:
1.
RJEŠAVANJE PROBLEMA
(uočavanje problema, pronalaženje nekoliko
altrenativnih rješenja, analiza ponuđenih alternativa i izbor neke od alternativa)
2.
PRIKUPLJANJE PODATAKA, INFORMACIJA I PREZENTIRANJE
REZULTATA
(prikuplja podatke i izračunava rezultate poslovanja za sve nivoe
upravljanja. Odgovara na pitanje: kako ja to radim?
3.
USMJERAVANJE PAŽNJE
(pomažu rukovodiocima da svu svoju pažnju i
energiju usmjere na određeni problem. Odgovara na pitanje koji problem treba da
riješim)
NIZ VRIJEDNOSTI POSLOVNIH FUNKCIJA
U pravilu postoji šest osnovnih poslovnih funkcija: Istraživanje i razvoj, Dizajn,
Proizvodnja, Marketing, Raspodjela i Usluge kupcima
Upravljačko računovodstvo ima značajnu ulogu u svakoj od ovih karika u lancu
poslovnih funkcija. Ni jedna ne smije biti izostavljena ili zapostavljena od strane
upravljačkog računovođe.
POBOLJŠANJE VRIJEDNOSTI UPRAVLJAČKIH RAČUNOVODSTVENIH
SISTEMA
Da bi se ostvarilo poboljšanje poslovanja treba se fokusirati na 4 osnovne teme:
-
FOKUS KUPCA
(kako mogu dodati vrijednost za kupca, kupac je stalno u fokusu
interesovanja preduzeća)
-
KLJUČNI FAKTORI USPJEHA
(
trošak
– stalni pritisak na smanjenje troškova,
kvalitet
– kupci očekuju viši nivo kvaliteta i manje tolerišu loš kvalitet,
vrijeme
– da
se aktivnosti obave što prije,
inovacije
– stalni zahtjevi za inoviranjem proizvoda,
tehnološkog procesa ili procedura)
-
STALNO USAVRŠAVANJE
(putovanje bez kraja, sve brže i brže poslovanje da bi
ostali u igri, ako ne idemo naprijed idemo nazad)
-
ANALIZA LANCA VRIJEDNOSTI I LANCA DOBAVLJAČA
(svaka
pojedinačna funkcija doprinosi povećanju vrijednosti ali i integrisanje i koordiniranje
svih funkcija također može biti faktor povećanja vrijednosti; skoro je nezamislivo
poslovanje bez lanca kupaca ili dobavljača)
2

-
metoda kvantitativne analize
– koristi matematičke alate za izračunavanje
linearne funkcije na osnovu podataka iz prethodnih perioda
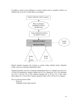
KRITERIJI ZA ALOKACIJU TROŠKOVA
Najčešće korišteni kriteriji za alokaciju indirektnih troškova su:
-
uzrok posljedica
(utvrđuju se faktori koji značajno utiču na trošenje resursa a time i
na alokaciju troškova. Na primjer, sati testiranja mogu biti dobar kriterij za alokaciju
troškova testiranja jer između broja sati i visine troškova postoji značajna povezanost)
-
primljene koristi
(Prema ovom kriteriju troškovi se dijele na nosioce prema
koristima – prihodima koji se ostvare prodajom tih outputa. Na primjer, troškovi
reklame firme na pogone se dijele prema ostvarenom prihodu pojedinih pogona)
-
poštenja ili jednakosti
(Ovaj kriterij se uglavnom koristi kod ugovora sa državom.
Zasniva se na uzajamnom osjeća poštenja i saglasnosti sa rasporedom troškova)
-
mogućnosti pokrića troškova
(Prema ovom kriteriju, troškovi se alociraju na
pogone u zavisnosti od visine dobiti ostvarene u tim pogonima. Polazi se od
pretpostavke da su pogoni koji su ostvarili veću dobit u mogućnosti da pokriću više
troškova)
4
ANALIZA TROŠAK – UKUPAN PRIHOD – PROFIT
CVP analiza najčešće korišteni alat za poslovno odlučivanje. Ova analiza istražuje
ponašanje ukupnih prihoda, ukupnih troškova i operativne dobiti kao promjene nivoa
outputa, prodajnih cijena, varijabilnih troškova po jedinici ili fiksnih troškova.
Uglavnom se bavi poslovnim odlukama tipa "ŠTA AKO".
PRETPOSTAVKE za CVP
Korištenje CVP analize se bazira na nekoliko pretpostavki:
-
Promjene u nivou prihoda i troškova pojavljuju se samo zbog promjene obima
proizvodnje ili promjene obima prodaje
-
Ukupni troškovi se mogu podijeliti na fiksnu i varijabilnu komponentu
-
Ponašanje ukupnih troškova i prihoda je linearno u odnosu na broj jedinica za
relevantni opseg
-
Prodajna cijena, jedinični varijabilni troškovi i fiksni troškovi su poznati i ostaju
nepromijenjeni
-
Analiza pokriva ili pojedinačni proizvod ili pretpostavlja da je proizvodni miks
nepromijenjen
-
U obračun se ne uključuje vrijeme i vrijednost novca
Mnoge kompanije koriste CVP za donošenje poslovnih odluka bez obzira na brojna
ograničenja koja su posljedica prethodno navedenih pretpostavki. Međutim, mnoge
kompanije su odustale od primjene CVP analize upravo zbog toga što pojednostavljenja
koja slijede iz navedenih pretpostavki ne daju prave informacije za poslovno odlučivanje.
Takve kompanije traže druge metode za potrebe poslovnog odlučivanja.
Rukovodioci
uvijek moraju procijeniti da li pojednostavljeni model CVP analize daje dobre
rezultate ili treba tražiti kompleksniji model.
Osnovne jednačine CVP analize su:
-
dobit od poslovanja = Ukupan prihod (UP) – (Troškovi prodatih proizvoda +
Troškovi uprave i prodaje)
-
neto dobit = dobit od poslovanja – porez na dobit
VAŽNI ELEMENTI CVP ANALIZE
Marža pokrića po jedinici = prodajna cijena – varijabilni trošak po jedinici
Marža pokrića = granična dobit po jedinici * broj prodatih jedinica
Procenat marže pokrića = Marža pokrića po jedinici / prodajna cijena
Tačka pokrića: Ukupan Prihod = Ukupni Troškovi, tj. gdje je dobit = 0
5

Osnovne jednačine za izračunavanje MTR su:
FR = UP – UT
UP = pc*Q
UT = FT + vt*Q
FR = pc*Q – vt*q – FT
Npr. Koristeći podatke iz prethodne tabele, za obim prodaje od 50 jedinica FR je:
FR = 200*50 – 120*50 – 2000 = 10000 – 8000 = 2000
Tačka pokrića je:
FR=0
0 = 200*Q – 120*Q – 2000
80Q = 2000
Q = 25 komada
Kada prodamo 25 komada ostvarićemo toliko prihoda da možemo pokriti sve troškove
Metod marže pokrića
FR = pc*Q – vt*q – FT
FR + FT = Q(pc-vt)
Q=(FR+FT)/(pc-vt)
MPJ = Marža pokrića po jedinici
MPJ = pc - vt
Pa je:
Q = (FR+FT) / MPJ
A tačka pokrića je kada je FR = 0 pa je
Q = FT / MPJ
Tj = 2000 / (200-120) = 25
Tačka pokrića u novčanim jedinicama = tačka pokrića u jedinicama * prodajna cijena =
25 * 200 = 5000 T.j.
7
Želiš da pročitaš svih 66 strana?
Prijavi se i preuzmi ceo dokument.
Slični dokumenti
Ovaj materijal je namenjen za učenje i pripremu, ne za predaju.