Terminali za održavanje i prodaju vozila Pregled
UNIVERZITET PRIVREDNA AKADEMIJA
T
ERMINALI
ZA
ODRŽAVANJE
I
PRODAJU
VOZILA
SEMINARSKI RAD
TERMINALI U DRUMSKOM SAOBRAĆAJU
MENTOR:
STUDENT:
PROF
. M
ILOŠ
A
RSIĆ
V
LADIMIR
B
OGDANOVIĆ
br. indeksa SA471/17
Novi Sad, januar, 2020.
1
Sadržaj
2. MODELI TEHNIČKOG ODRŽAVANJA
.....................................................................3
3. OSNOVNE KARAKTERISTIKE I RAZLIKE SERVISNIH STANICA I
AUTOBAZA
4. OBJEKTI ZA ODRŽAVANJE I KRITERIJUMI ZA NJIHOV RAZMEŠTAJ
4.2. Informacioni sistemi o radu i održavanju vozila
..........................................................18

3
Četvrti deo rada je prikaz objekata za održavanje i kriterijume za njihov razmeštaj, u
koje spadaju nega transportnih sredstava, kontrolne intervencije, rad sa fluidima, dijagnostički
radovi, radovi na podešavanju i zamenama, kao i radovi na regeneraciji agregata, elemenata i
sklopova. Takođe, dat je osvrt i na informacione sisteme o radu i održavanju vozila, kao i
prodaju vozila.
Zaključna razmatranja su bazirana na pročitanoj stručnoj literaturi i predstavljaju
autorov stav o temi rada.
Cilj rada je da na postupan i sistematičan način bliže objasni pojam terminala za
održavanje i prodaju vozila.
2. MODELI TEHNIČKOG ODRŽAVANJA
Sa povećanjem složenosti konstrukcije motornih vozila problematika njihovog
održavanja postaje sve složenija. Razvojni put održavanja motornih vozila mogao bi da se
podeli u nekoliko etapa, i to: [2]
-
prva (od prve primene motornih vozila do 1950), čija je osnovna suština otkloniti
otkaz kada se on pojavi;
-
druga (od 1950 do 1980), čije su osnovne karakteristike niži troškovi održavanja,
veća trajnost i veća raspoloživost motornih vozila;
-
treća (od 1980 do danas), čije su osnovne karakteristike bolji odnos efekat-troškovi,
duži vek trajanja, zaštita životne sredine, veća pouzdanost i raspoloživost.
Danas još uvek kod nas dominiraju tzv. klasične strategije održavanja (korektivno,
preventivno i njihove kombinacije). Pri tome preventivno održavanje, uglavnom se vrši po
vremenu (vozilo se zaustavlja – ne vrši transportni rad, vrši se utvrđivanje njegovog tehničkog
stanja i vrše se potrebne i planirane zamene). S obzirom na tehnike koje se prvenstveno koriste,
pri upravljanju održavanjem, mogu se uočiti nekoliko etapa njihove primene, i to: prva
(otkloniti otkaz kada do njega dodje); druga (planiranje, uvodjenje sistema za planiranje i
kontrolu rada i uvodjenje informatičkih tehnologija); treće (vođenje računa o pouzdanosti i
pogodnosti za održavanje tokom projektovanja motornih vozila, razvoj i praćenje stanja opreme
za održavanje, izrada studija rizika, korišćenje ekspertskih sistema i mikrokompjuterske mreže,
4
primena metoda za analizu vozila sa aspekta pojave neispravnosti – FTA, FMECA, planiranog
eksperimenta i uvođenje fleksibilnih servisnih sistema). [2]
Postavljanje određenih modela održavanja (što znači povezivanje uticajnih činilaca
odgovarajućim matematičkim relacijama) moguće je izvršiti optimizaciju, tj. izabrati
najpovoljniji sistem održavanja. Sistem održavanja vozila zavisi od koncepcije, organizacije i
tehnologije održavanja. Ovo govori da sistem održavanja može da se razreši na više načina,
primenom većeg broja strategija koje se mogu u manjoj ili većoj meri razlikovati. Primena bilo
koje varijante strategije održavanja dovodi do određenih rezultata po pitanju karakteristika
sistema održavanja (gotovost, troškovi, itd.). Ovo navodi na zaključak da je neophodno
upoređivanje rezultata primenom različitih strategija održavanja. To upoređivanje moguće je
vršiti po različitim kriterijumima (prema gotovosti, troškovima, itd.), što se svodi na tzv.
višekriterijumski problem. Zadatak optimizacije sistema održavanja je izbor najpovoljnijih
vrednosti (“optimum”) za definisane kriterijume i ograničenja. Ovo znači da nije samo dovoljno
konstatovati da je neka varijanta strategije održavanja optimalna, već treba i precizirati za koje
kriterijume je ona najprihvatljivija. Analizom i optimizacijom sistema održavanja, korišćenjem
odgovarajućih matematičkih modela, koji se često nazivaju modeli održavanja ili modeli
obnavljanja, moguće je vozilo posmatrati kao celinu, što olakšava definisanje stepena i
karaktera uticaja promenljivih parametara, kao i vezu između njih. Moguće je, takođe,
upoređivanje više mogućih varijanata strategije održavanja, a samim tim i izbor
najprihvatljivije za određena ograničenja i usvojene kriterijume kao i predviđanje budućeg
stanja sistema održavanja, uz procenu rizika, na osnovu rezultata dobijenih analizom i
optimizacijom. [1]
Često se moguće varijante strategije održavanja, sa stanovišta tehnologije i organizacije,
optimiziraju primenom odgovarajućih empirijsko - heurističkih metoda, koje za osnovu imaju
iskustvo i empirijske izraze. Ove metode omogućavaju: uključivanje u analizu i onih faktora
(prvenstveno subjektivnih) čije je opisivanje određenim matematičkim modelima vrlo teško, a
njihovo povezivanje sa drugim faktorima predstavlja veliki problem. Najčešće se koriste
sledeće dve mogućnosti pri optimizaciji sistema održavanja: [1]
-
ukoliko se optimizacija vrši prema gotovosti najveći dozvoljeni troškovi održavanja
predstavljaju ograničenje;
-
ukoliko se kao kriterijum optimizacije uzmu troškovi održavanja, minimalni nivo
gotovosti uzima se za ograničenje.

6
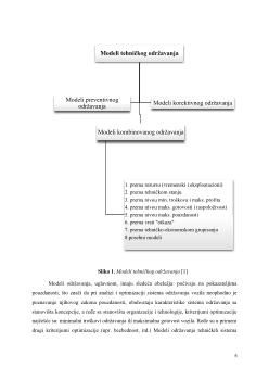
Slika 1.
Modeli tehničkog održavanja
[1]
Modeli održavanja, uglavnom, imaju sledeća obeležja: počivaju na pokazateljima
pouzdanosti, što znači da pri analizi i optimizaciji sistema održavanja vozila neophodno je
poznavanje njihovog zakona pouzdanosti, obuhvataju karakteristike sistema održavanja sa
stanovišta koncepcije, a ređe sa stanovišta organizacije i tehnologije, kriterijumi optimizacije
najčešće su: minimalni troškovi održavanja ili maksimalna gotovost vozila. Ređe su u primeni
drugi kriterijumi optimizacije (npr. bezbednost, itd.) Modeli održavanja tehničkih sistema
Modeli tehničkog održavanja
Modeli kombinovanog održavanja
1. prema resursu (vremenski i eksploatacioni)
2. prema tehničkom stanju
3. prema nivou min. troškova i maks. profita
4. prema nivou maks. gotovosti i raspoloživosti
5. prema nivou maks. pouzdanosti
6. prema vrsti "otkaza"
7. prema tehničko-ekonomskom grupisanju
8.posebni modeli
Modeli preventivnog
održavanja
Modeli korektivnog održavanja
Želiš da pročitaš svih 23 strana?
Prijavi se i preuzmi ceo dokument.
Slični dokumenti
Ovaj materijal je namenjen za učenje i pripremu, ne za predaju.