Osnove računarstva Pregled
1.1. Malo o hardveru
Svaki računar se u principu sastoji od sledećih elemenata:
-centralne jedinice i
-periferija
Centralna jedinica je skup elemenata koji su locirani zajedno jer po principu su neophodni za osnovno funkcionisanje
računara. Nasuprot ovome,u principu, periferije su proširenja, samo posrednim vezama (kablovima, komunikacionim
signalima) komuniciraju sa centralnom jedinicom. Takve periferije su npr. monitori, tastature, štampači, itd.
Za primer uzećemo jedan PC računar. Centralna jedinica je kutija u čega je smeštena osnovna ploča sa elementima.
Ova ploča obezbeđuje funkcionalno povezivanje delovau centralnoj jedinici. Na donjoj slici vidimo jedan primer
takve ploče poznatog proizvođača ABIT.
OsnoveRacunarstva
1.1. Malo o hardveru
1
OsnoveRacunarstva
1.1. Malo o hardveru
2

Često koristimo računar (ili u jednostavnijim slučajevima neku jedinicu sa mikroprocesorom) za upravljanje
procesima. U ovim slučajevima programski kod je unapred sastavljen i smešten u memoriju. Program očekuje ulazne
parametre, koji se obezbeđuju posredstvom senzora a šalju preko A/D konvertera do računara. Nakon obrade, digitalni
signali se pretvore nazad u analogne signale preko D/A konvertera i posreduju izvršnom uređaju korisnika (u našem
primeru: motoru ventila).
OsnoveRacunarstva
1.2. Primena računara
4
1.3. Algoritamske šeme, grafički simboli
-od ideje do programa je dugačak put
-algoritam, može biti samo jasan opis, ali najčešće je skup simbola i znakova, koji definiše najvažnije korake rešenja
postavljenog zadatka - skica programa
- PREGLEDNA VEZA DETALJA I CELINE
-nezavisna od programskog jezika
OsnoveRacunarstva
1.3. Algoritamske šeme, grafički simboli
5

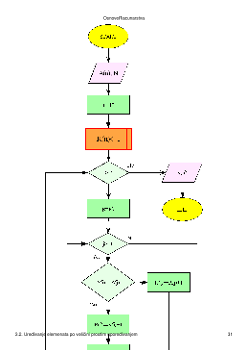
ZADATAK1:
Sastaviti algoritamsku šemu za sledeću matematičku funkciju:
y={x1+x2, ako je x1<x2 V x1-x2, ako je x1>=x2
OsnoveRacunarstva
1.3.1. Razgranata šema
7
Želiš da pročitaš svih 106 strana?
Prijavi se i preuzmi ceo dokument.
Slični dokumenti
Ovaj materijal je namenjen za učenje i pripremu, ne za predaju.